Operasi Vektor dalam Matematika
Daftar Isi
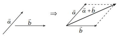
1. Penjumlahan Dua Vektor
Jumlah dua vektor atau lebih disebut vektor hasil atau resultan. Secara geometris penjumlahan dua vektor ada 2 aturan, yaitu:
- Aturan segitiga

- Aturan jajar genjang

Pada penjumlahan Vektor berlaku:
- Sifat komutatif
$ \overline{a}+\overline{b}=\overline{b}+\overline{a} $ - Sifat asosiatif
$ \left( \overline{a}+\overline{b} \right)+\overline{c}=\overline{a}+\left( \overline{b}+\overline{c} \right) $ - Elemen identitas, yaitu Vektor nol
$ \overline{a}+\overline{0}=\overline{a}=\overline{0}+\overline{a} $ - Invers tambah
$ \overline{a}+(-\overline{a})=\overline{0} $
2. Resultan dari beberapa vektor
Mengingat aturan segitiga dan sifat asosiatif penjumlahan vektor, maka kita dapat melakukan penjumlahan Vektor dengan cara polygon.

3. Selisih Dua Vektor
Selisih dua vektor artinya menjumlahkan vektor pertama dengan lawan (negatif) vektor kedua.
$$ \overline{a}-\overline{b}=\overline{a}+(-\overline{b})$$
$ \overline{a} $ dikurangi $ \overline{b} $ sama dengan $ \overline{a} $ ditambah lawan dari $ \overline{b} $ . Hal ini diperjelas secara geometri sebagai berikut

4. Perkalian Vektor dengan Scalar
Hasil kali vektor $ \overline{a} $ dengan skalar k adalah vektor yang panjangnya k kali panjang vektor $ \overline{a} $ dan arahnya bergantung dengan nilai k.
Pada gambar diatas $ \overrightarrow{AB}=\overline{a},\text{ }\overrightarrow{CD}=2\overline{a},\text{ }\overrightarrow{QP}=-\overline{a}, $ dan $ \overrightarrow{KR}=-3\overline{a} $ maka $ \overrightarrow{CD}=2\overrightarrow{AB} $ dan $ \overrightarrow{KR}=3\overrightarrow{QP} $ atau $ \overrightarrow{KR}=-3\overrightarrow{AB} $ .
Dari sini dapat dimengerti bahwa ada 3 kemungkinan hasil kali suatu vektor dengan skalar k yaitu
- Jika $ k>0 $ maka $ k.\overline{a} $ adalah suatu vektor yang panjangnya $ k $ kali Vektor $ \overline{a} $ dan searah dengan $ \overline{a} $
- Jika $ k=0 $ maka $ k.\overline{a} $ adalah Vektor nol
- Jika $ k<0 $ maka $ k.\overline{a} $ adalah suatu vektor yang panjangnya $ k $ kali Vektor $ \overline{a} $ dan berlawanan arah dengan $ \overline{a} $
Jika $ \overline{a} $ suatu Vektor tak nol dan $ n,p\in R $ maka berlaku:
- $ n\overline{a}=\left| n \right|.\left| \overline{a} \right| $
- $ n(-\overline{a})=-n\overline{a} $
- $ n\overline{a}=\overline{a}n $
- $ (np)\overline{a}=n(p\overline{a}) $
- $ (n+p)\overline{a}=n\overline{a}+p\overline{a} $
- $ n(\overline{a}+\overline{b})=n\overline{a}+n\overline{b} $
5. Vektor Posisi
Vektor posisi dari titik A terhadap titik pusat O ditulis $ \overrightarrow{OA} $ atau $ \overline{a} $ . Gambar menunjukkan posisi dari titik A, B, dan C terhadap pusat O, ditulis $ \overrightarrow{OA},\overrightarrow{OB}, $ dan $ \overrightarrow{OC} $ . Vektor $ \overrightarrow{OA},\overrightarrow{OB}, $ dan $ \overrightarrow{OC} $ disebut vektor posisi dari titik A, B, dan C. Vektor posisi dari titik A, B, dan C sering ditulis dengan huruf kecil $ \overline{a},\overline{b}, $ dan $ \overline{c} $ .
Perhatikan ∆ABO, terlihat bahwa
$$ \begin{align*}
\overrightarrow{AB}=\overrightarrow{AO}+\overrightarrow{OB} \\ \overrightarrow{AB}=-\overrightarrow{OA}+\overrightarrow{OB} \\ \overrightarrow{AB}=\overrightarrow{OB}-\overrightarrow{OA} \end{align*}$$
$ \therefore \overrightarrow{AB}=\overline{b}-\overline{a} $
Contoh
Contoh Menggambar vektor
Diketahui vektor $ \overline{a},\overline{b}, $ dan $ \overline{c} $ digambarkan sebagai berikut
Gambarlah diagram vektor diatas yang menunjukkan $ 2\overline{a}+\frac{1}{2}\overline{b}-\frac{2}{3}\overline{c} $
Alternatif penyelesaian

Contoh Pembuktian vektor dengan aturan penjumlahan
Buktikan dengan aturan penjumlahan bahwa $ \overrightarrow{AD}+\overrightarrow{BC}=\overrightarrow{AC}+\overrightarrow{BD} $
Alternatif Penyelesaian
$$ \begin{align*}
(\overrightarrow{AD}+\overrightarrow{BC})-(\overrightarrow{AC}+\overrightarrow{BD})=\overrightarrow{O}\\ \overrightarrow{AD}+\overrightarrow{BC}-\overrightarrow{AC}-\overrightarrow{BD}=\overrightarrow{O}\\ (\overrightarrow{AD}-\overrightarrow{AC})+(\overrightarrow{BC}-\overrightarrow{BD})=\overrightarrow{O}\\ (\overrightarrow{CA}+\overrightarrow{AD})+(\overrightarrow{DB}-\overrightarrow{BC})=\overrightarrow{O}\\ \overrightarrow{CD}+\overrightarrow{DC}=\overrightarrow{O}\\ \overrightarrow{CC}=\overrightarrow{O}
\end{align*}$$
Jadi, $ \overrightarrow{AD}+\overrightarrow{BC}=\overrightarrow{AC}+\overrightarrow{BD} $ (Terbukti)
Contoh Pembuktian Secara Geometri
Pada trapesium ABCD, diberikan titik-titik tengah pada sisi AB, BC, CD, dan DA, yaitu titik P, Q, R, dan S, seperti pada gambar. Buktikan bahwa PQRS merupakan jajargenjang.
Alternatif penyelesaian
Pandang diagonal AC
$$ \begin{align*}
\overrightarrow{PQ}=\overrightarrow{PB}+\overrightarrow{BQ} \\ \overrightarrow{PQ}=\frac{1}{2}\overrightarrow{AB}+\frac{1}{2}\overrightarrow{BC} \\ \overrightarrow{PQ}=\frac{1}{2}(\overrightarrow{AB}+\overrightarrow{BC}) \\ \overrightarrow{PQ}=\frac{1}{2}\overrightarrow{AC}
\end{align*}$$
$$ \begin{align*}
\overrightarrow{SR}=\overrightarrow{SD}+\overrightarrow{DR} \\ \overrightarrow{PQ}=\frac{1}{2}\overrightarrow{AD}+\frac{1}{2}\overrightarrow{DC} \\ \overrightarrow{PQ}=\frac{1}{2}(\overrightarrow{AD}+\overrightarrow{DC}) \\ \overrightarrow{SR}=\frac{1}{2}\overrightarrow{AC}
\end{align*}$$
Hal ini berarti $\overrightarrow{PQ}=\overrightarrow{SR}$ dan $\overrightarrow{PQ}$ sejajar $\overrightarrow{SR}$
Jadi, PQRS merupakan jajargenjang.
Contoh Pembuktian vektor secara geometri
Buktikan bahwa diagonal jajargenjang OABC saling berpotongan di tengah
Aternatif penyelesaian
Perhatikan jajargenjang OABC disamping.
Vektor posisi dari titik A, B, dan C adalah $ \overline{a},\overline{b}, $ dan $ \overline{c} $ .
M titik tengah $ \overrightarrow{AC} $ , sehingga
$$ \begin{align*}
\overrightarrow{OM}&=\overrightarrow{OA}+\overrightarrow{AM} \\ \overrightarrow{OM}&=\overrightarrow{OA}+\frac{1}{2}\overrightarrow{AC} \\ \overrightarrow{OM}&=\overrightarrow{OA}+\frac{1}{2}(\overrightarrow{OC}-\overrightarrow{OA}) \\ \overrightarrow{OM}&=\frac{1}{2}(\overrightarrow{OA}+\overrightarrow{OC}) \\ \overrightarrow{OM}&=\frac{1}{2}(\overline{a}+\overline{c}) \end{align*}$$
Titik tengah $ \overrightarrow{OB} $ ditentukan oleh $ \frac{1}{2}\overline{b} $ , maka
$$ \begin{align*}
\frac{1}{2}\overline{b}&=\frac{1}{2}(\overrightarrow{OA}+\overrightarrow{AB}) \\ \frac{1}{2}\overline{b}&=\frac{1}{2}(\overline{a}+\overrightarrow{OC}) \\ \frac{1}{2}\overline{b}&=\frac{1}{2}(\overline{a}+\overrightarrow{OC}) \\ \frac{1}{2}\overline{b}&=\frac{1}{2}(\overline{a}+\overline{c})
\end{align*}$$
Jadi, titik tengah $ \overrightarrow{AC} $ ditentukan oleh $ \frac{1}{2}(\overline{a}+\overline{c}) $ dan titik titik tengah $ \overrightarrow{OB} $ ditentukan oleh $ \frac{1}{2}\overline{b}=\frac{1}{2}(\overline{a}+\overline{c}) $ . Hal ini menunjukkan bahwa diagonal $ \overrightarrow{OB} $ dan $ \overrightarrow{AC} $ saling berpotongan di tengah
Latihan Soal
Gambarlah vektor-vektor berikut
- $ \overline{v}=\overline{a}+\overline{b}-\overline{c} $
- $ \overline{w}=-\frac{2}{3}\overline{a}+\overline{b}-3\overline{c} $
Diketahui ABCDE merupakan segilima beraturan
Sederhanakanlah- $ \overrightarrow{AE}+\overrightarrow{EC}+\overrightarrow{CD}-\overrightarrow{AB} $
- $ \overrightarrow{AB}+\overrightarrow{BC}-\overrightarrow{EC}-\overrightarrow{DE} $
Jika titik A, B, dan M mempunyai vektor posisi $ \overline{a},\overline{b} $ dan $ \overline{m} $ terhadap titik O dan titik M merupakan titik tengah ruas garis AB, buktikan bahwa $ \overline{m}=\frac{1}{2}(\overline{a}+\overline{b}) $
Pada gambar berikut, terlihat bahwa PQRS sebuah jajargenjang. A dan B merupakan titik tengah PQ dan PS Jika $ \overrightarrow{RA}=\overline{u} $ dan $ \overrightarrow{RB}=\overline{v} $ , nyatakan:
- $ \overrightarrow{PQ} $ dan $ \overrightarrow{RS} $ dalam bentuk $ \overline{u} $ dan $ \overline{v} $
- $ \overrightarrow{PQ} $ dan $ \overrightarrow{RS} $ dalam bentuk $ \overline{u} $ dan $ \overline{v} $
Pada ∆ABC, $ \overrightarrow{AB},\overrightarrow{BC} $ dan $ \overrightarrow{CA} $ mewakili Vektor-vektor $ \overline{a},\overline{b}, $ dan $ \overline{c} $ . P dan Q adalah titik tengah BC dan CA. Misalkan garis yang melalui Q sejajar BC dan memotong AB di R.
- Buktikan bahwa $ \overrightarrow{QR} $ mewakili Vektor $ \frac{1}{2}\overline{c}+k\overline{a} $ untuk suatu $ k $
- Buktikan bahwa $ \overrightarrow{QR} $ mewakili Vektor $ p\overline{b} $ untuk suatu $ p $
- Dengan menggunakan $ \overline{a}+\overline{b}+\overline{c}=\overrightarrow{O}; $ buktikan bahwa jika $ (l+k)\overline{a}+\left( l+\frac{1}{2} \right)\overline{c}=\overrightarrow{O}, $ maka $ k=\frac{1}{2} $ dan $ l=-\frac{1}{2} $


